
우리가 먹는 음식이 ‘숨쉬는 방식’을 바꾼다고?
사람이 쉬지 않고 하는 일 중 하나가 ‘숨쉬기’입니다. 그런데 이 호흡이 우리가 어떤 음식을 먹느냐에 따라 바뀐다는 사실, 알고 계셨나요?
이런 사실은 과학자들이 호흡률(Respiratory Quotient, RQ)이라는 지표를 통해 알아냈습니다.
RQ란 무엇일까요?
RQ는 아래와 같은 비율로 계산됩니다.
RQ=몸에서 나오는 이산화탄소 양 (CO₂) / 몸에서 쓰인 산소 양 (O₂)
이 비율을 보면 몸이 어떤 연료(기질)를 주로 사용하고 있는지 알 수 있습니다.
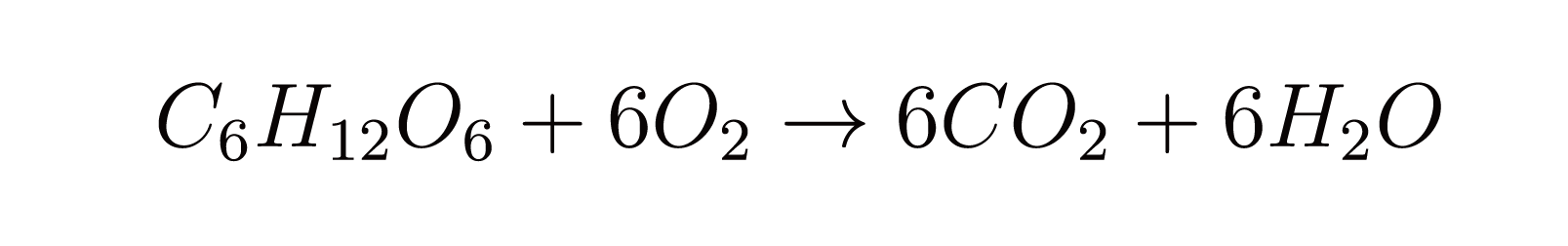
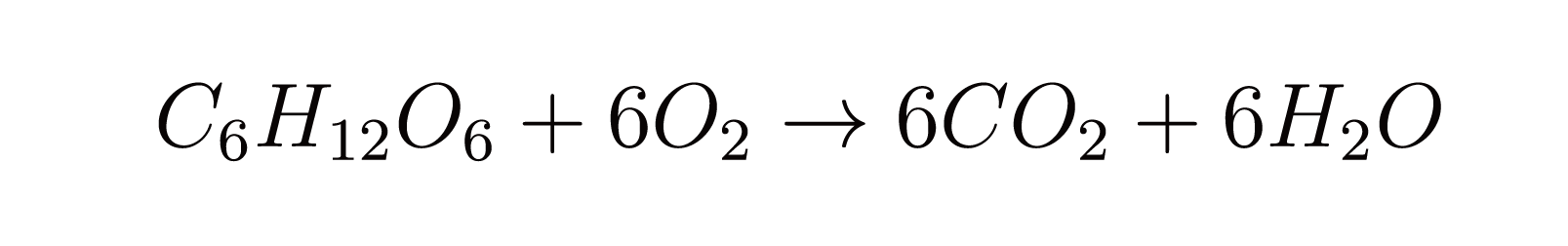
탄수화물을 태울 때의 RQ
탄수화물은 ‘깨끗하게’ 타는 연료입니다. 가장 대표적인 탄수화물인 포도당(C₆H₁₂O₆)이 연소되는 반응은 다음과 같습니다.

- 탄산소 6분자를 쓰고
- 이산화탄소 6분자가 나옵니다.
그래서 RQ는 정확히 1.0입니다.
즉, 탄수화물 위주의 식사를 하면 RQ가 1에 가깝게 유지됩니다.
지방을 태울 때의 RQ
지방은 산소를 더 많이 써야 하는 연료입니다. 예를 들어 팔미트산(C₁₆H₃₂O₂)이라는 지방산은 이렇게 분해됩니다.

- 산소는 23분자가 필요하지만
- 이산화탄소는 16분자만 나옵니다.
따라서 RQ는 약 0.7입니다.
지방을 주로 에너지원으로 쓸수록 RQ는 0.7에 가까워지게 됩니다.
단백질은 중간쯤
단백질은 이산화탄소도 적당히 나오고 산소도 적당히 사용합니다. 또 질소(N)라는 요소가 있어서 대사 과정이 복잡하지만, 평균적으로 RQ는 0.8 정도로 봅니다.
정리해볼까요?
| 기질 | 대표 분자 | RQ | 특징 |
|---|---|---|---|
| 탄수화물 | 포도당 | 1.00 | 깨끗한 탄소 연료 |
| 지방 | 팔미트산 | 0.70 | 산소를 더 많이 쓰는 연료 |
| 단백질 | 아미노산들 | ~0.80 | 중간값, 복잡한 대사 |
그럼 이건 왜 중요할까요?
우리 몸은 식단에 따라 에너지 전략을 바꿉니다.
- 탄수화물 중심 식사를 하면 몸은 탄수화물을 태우고 RQ가 올라갑니다.
- 지방 중심 식사를 하면 몸은 지방을 태우고 RQ가 내려갑니다.
이 차이는 실험실 대사챔버에서 정확히 측정할 수 있고, 실제로 케빈 홀(Kevin Hall) 박사의 NIH 연구에서는 이 RQ의 차이를 통해 식단에 따라 몸의 연료 사용이 완전히 달라진다는 것을 입증했습니다. 이에 대해서는 다음 포스팅에서 다루겠습니다.
마무리: RQ는 당신의 대사창을 들여다보는 창
단순히 “칼로리를 얼마나 먹었느냐”만으로는 몸의 상태를 알 수 없습니다.
어떤 연료를 쓰고 있는지,
지방을 태우고 있는지,
탄수화물에 의존하고 있는지,
이 모든 것을 한눈에 알려주는 지표가 바로 RQ입니다.
우리가 어떤 음식을 먹느냐에 따라,
우리 몸의 연료 전략이 바뀌고,
그에 따라 호흡의 패턴조차 달라진다는 점은 놀랍지 않나요?
이러한 작은 연구 결과를 모아서 다이어트 연구를 하기 때문에 다이어트 논문을 위해서라면 이것을 이해할 필요가 있습니다.
'생활면역' 카테고리의 다른 글
| 하버드 식단 vs. USDA 식단 – USDA가 맞다고 본다 (3) | 2025.08.25 |
|---|---|
| 후생유전학은 어떻게 대중에게 알려지게 되었는가? (3) | 2025.08.22 |
| 카본블랙, PAH, 중금속… 디젤 엔진이 뿜는 독성 물질의 실체 (3) | 2025.08.19 |
| 마이크로바이옴 과대광고상: 과학자 조나선 아이선의 유쾌한 경고 (5) | 2025.08.17 |
| 한국의 치매 유병률, 왜 계속 높을까? (8) | 2025.08.16 |